Поведение полимерных материалов под действием ударных нагрузок
Данная работа посвящена описанию и обсуждению методических аспектов инструментированных испытаний на пробой.

Постоянно расширяющееся применение полимерных материалов (ПМ) в качестве конструкционных материалов (в частности, в автомобилестроении) требует наряду с традиционными испытаниями на растяжение, ударный изгиб или на твердость проводить измерения свойств этих материалов с учетом условий их практического применения. В данной работе рассматривается инструментированный метод испытаний на пробой, используемый для исследования многоосевого поведения ПМ под действием ударных нагрузок. Преимущества такого испытания заключаются в возможности его относительно простой реализации, в том числе при испытаниях термостатированных образцов. В статье приводятся краткое описание метода и методика анализа получаемых диаграмм «усилие – деформация» в соответствии с действующими нормами. Кроме того, описываются выборочные примеры из практики проведенных испытаний. На первом плане при этом остается влияние таких важных для ПМ факторов, как температура и скорость удара.
Высокие темпы развития ПМ объясняются их ценными свойствами (в частности, возможностью относительно простого изготовления из них сложных изделий), сочетающимися с низкой плотностью и широкими возможностями модификации для целенаправленного изменения комплекса свойств. Во многих областях применения (строительство, бытовая техника и электронные приборы, упаковка, изделия для медицины, транспортостроение и др.) ПМ уже стали незаменимыми материалами, обеспечивающими реализацию дизайнерских замыслов и (или) достижение необходимых функциональных свойств.
Полимерные изделия для вышеперечисленных сфер применения во время практического использования зачастую подвергаются воздействию достаточно сложного комплекса механических нагрузок, которые могут быть не только статическими, но и динамическими. К ним часто добавляется также влияние повышенной температуры. Поэтому для ПМ с их выраженной зависимостью механических свойств от времени действия нагрузок и температуры особое значение приобретает определение показателей свойств, наиболее важных для той или иной области применения и при соответствующих температурно-силовых условиях. В частности, для используемых в автомобилестроении ПМ необходимо оценивать механические свойства при низких (например, –60 °C) и высоких (например, 120 °C) температурах.
Данная работа посвящена описанию и обсуждению методических аспектов инструментированных испытаний* (instrumentierte Pruefung) на пробой (в дальнейшем – также просто «испытания на пробой»), которые также иногда называют испытаниями при ударной нагрузке, создаваемой падающим грузом. В принципе, испытания на пробой могут быть отнесены к испытаниям, связанным с определением вязкости разрушения. Этот метод испытаний был разработан для оценки многоосевого нагруженного состояния образца, в котором он оказывается при точечном приложении ударной нагрузки. Реальные нагрузки, действующие на конструкционные детали или предметы широкого потребления, можно сравнить с воздействием града на крышу автомобиля или с ударами тупых предметов по бамперу автомобиля. Значение этого приближенного к реальным условиям испытания на пробой было важным, например, при выборе пленки из полиэтилентетрафторэтилена в качестве наружного покрытия стадиона «Альянс-Арена» в Мюнхене.
В этом случае многоосевое нагружение пленочного материала возникает в результате влияния атмосферных факторов. Параллельно с созданием специальных видов ПМ и эластомеров для самых различных областей применения необходимо разрабатывать и использовать соответствующие содержательные экспериментальные методы и способы оценки получаемых с их применением результатов. Поэтому одной из задач описываемых исследований являлась оценка информативности данных, получаемых при испытаниях разных видов ПМ на пробой в соответствии со стандартом DIN EN ISO 6603-2, а также совершенствование этого метода с методической точки зрения.
Методика проведенияиспытаний
Метод инструментированного испытания на пробой представляет собой дальнейшее развитие традиционного метода испытания на пробой и описан в упомянутом выше стандарте DIN EN ISO 6603-2. Для реализации этого метода применяются специальные автоматизированные системы падающих тел (чаще всего – стержней), которые на коммерческой основе предлагаются различными производителями измерительных приборов. Принцип проведения испытаний иллюстрирует. Для испытаний используются образцы, имеющие в плане форму круглых или прямоугольных пластин. Для проведения сравнительных экспериментальных испытаний следует применять образцы одинаковой толщины, так как от толщины зависят получаемые результаты измерений. Падающий стержень в соответствии с рекоменданиями стандарта имеет полированный стальной наконечник в виде полусферы с наиболее предпочтительным диаметром 20± 0,2 мм и закреплен на каретке, которая используется как для удержания падающего стержня после проведения испытания, так и для создания дополнительной нагрузки с целью повышения энергии удара.
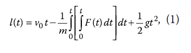
Испытуемый образец располагается на опорном кольце, которое должно иметь внутреннее отверстие определенного диаметра для прохода падающего стержня после удара. Перед вертикальным нагружением, создаваемым падающим стержнем, образец необходимо зажать с усилием не меньше 3 кН для того, чтобы предотвратить возможность его перемещении в вертикальном направлении. Соответствующая нормам скорость движенияvпадающего стержня в момент удара при падении с высоты 1 м составляет 4,4 м/с. Интегрированные в полусферу или в опорное кольцо измерительные приборы позволяют на стадии нагружения зарегистрировать сигналы, характеризующие зависимостьF(t)(зависимость усилияFот времениt). На основе этих данных затем получают зависимость деформацииlот усилияF(t), используя следующее выражение:

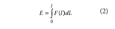
гдеm– масса падающего груза;g –ускорение свободного падения (9,81 м/с2). Путем двойного интегрирования зависимостиF(l)(«усилие – деформация») находят поглощенную
образцом энергию удараЕ:

Применение специальных ускорительных устройств позволяет при необходимости обеспечить более высокую скорость движения падающего стержня, чем ее указанное в стандарте DIN EN ISO 6603-2 значение, равное 4,4 м/с. На практике эта задача может быть реализована разными способами, например, c использованием груза с пневматическим, гидравлическим или пружинным приводом. Для создания точечной ударной нагрузки в ходе экспериментов применялись инструментальная падающая система Fractovis компании Ceast (в настоящее время система носит название CEAST 9350), а также прототип высокоскоростной ударной измерительной машины HIP компании Coesfeld.
Каждая из этих установок оборудована камерой термостатирования. Обе они в принципе могут быть использованы для проведения испытаний в соответствии с изложенной в стандарте DIN EN ISO 6603-2 методикой, хотя проведение измерений связано с определенными особенностями. Падающая система Fractovis позволяет выполнять испытания в диапазоне температур от –70 до 180 °C и в интервале варьирования скорости от 0,3 до 20 м/с.
При использовании измерительной машины HIP диапазон варьирования температуры несколько меньше (от –50 до 150 °C), но скорость падения груза может быть увеличена до 50 м/с. Более высокую скорость движения падающего стержня при работе с прибором Fractovis можно достичь благодаря использованию пружинной системы; машина HIP работает с применением сжатого воздуха.
Диаграммы наглядно иллюстрируют принцип оценки максимального усилияFM, оказываемого стержнем на образец в направлении удара, усилия пробояFp, а также соответствующих значений деформации –lM иlp. Кроме того, приведенные графики демонстрируют различные виды подобных диаграмм, которые характеризуют поведение разных ПМ. Черная диаграмма соответствует относительно хрупкому материалу: в этом случае при достижении сравнительно высокого значения усилия, практически не сопровождающегося пластической деформацией, наблюдается нестабильное разрастание трещин.
Красная диаграмма характеризует материал с более низким значениемFM; форма этой диаграммы указывает на незначительную пластическую деформацию. Однако и в этом случае при максимальном усилииFM наблюдается разрушение за счет разрастания трещин. В то же время полный пробой происходит только при более значительной деформации. В отличие от двух рассмотренных выше случаев голубая диаграмма «усилие – деформация» описывает поведение материала, характеризующегося более высокой вязкостью разрушения с увеличенной долей пластической деформации и стабильным ростом трещин перед окончательным пробоем. Отмеченные для трех вышеуказанных материалов различия проявляются также при определении соответствующих значений энергии деформации.
Для этого еще раз показаны красная и голубая диаграммы «усилие – деформация». По этим диаграммам в соответствии со стандартом DIN EN ISO 6603-2 определяются значения максимальной энергииEM и энергии пробояEp. Представленные диаграммы со всей отчетливостью позволяют выявить не только зависящие от особенностей материалов различия в значениях энергии, но и проблемы, которые могут возникнуть при их оценке в соответствии с нормами: неучтенными остаются достаточно значительные составляющие энергий деформации (их величина зависит от конфигурации кривых), соответствующие областям графиков, расположенным за произвольно фиксируемыми точками пробояFp (условно принимаемыми равными половине величиныFМ).
Это означает, что при проведении анализа необходимо принимать во внимание общий вид всей диаграммы, а также учитывать характер разрушения опытного образца.

Выборочные результатыиспытаний
Представленные в данной работе результаты были получены в процессе исследования различных ПМ, указанных в таблице, в которой приведены также толщинаdобразцов, температураTпроведения испытаний и скоростьvпадения стержня. Прочие, не отмеченные в таблице условия эксперимента, соответствовали требованиям действующих норм на проведение испытаний на пробой. Также показаны результаты испытания пленки из пластифицированного ПВХ (ПВХ-П), иллюстрирующие влияниеTиvна величину максимального усилияFM и соответствующего удлиненияlM. Из них видно, что в пределах выбранного интервала изменение температуры оказывает более существенное влияние на поведение исследуемого материала, чем изменение скорости проведения испытаний. В то время как максимальное усилие при повышении значенияvс 4,4 до 10 м/с остается практически неизменным (в пределах ошибки измерений), увеличение температуры приводит к резкому снижению величиныFM. Особый интерес из приведенных результатов испытаний представляет тот факт, что и повышение скорости движения падающего стержня и увеличение температуры сопровождаются ростом значений деформацииlM испытуемого образца ПВХ-П.
В результате исследования аморфных ПМ (ПММА и ПК) было установлено, что величина прилагаемого усилия удара и деформация могут изменяться либо в противоположных направлениях, либо в одном направлении в зависимости от выбранного диапазона варьирования температуры. В случае ПММА величина максимального усилияFM при температурах до –20 °C остается почти неизменной, а при дальнейшем повышении температуры до комнатной стабильно увеличивается. Деформация этого материала при повышении температуры до –20 °C снижается, затем меняет характер своего изменения и достигает максимального значения при температуре 0 °C.
Способность ПК воспринимать внешние нагрузки, напротив, уменьшается практически во всем выбранном диапазоне варьирования температуры. Измеренная при максимальном усилии деформация при повышении температуры до 0 °C остается примерно на постоянном уровне, однако дальшейнее увеличение температуры приводит к ее резкому снижению. Сопоставление результатов исследования обоих ПМ свидетельствует о том, что они принципиально отличаются друг от друга по своим свойствам, а также о том, что варьирование температуры оказывает различное влияние на их энергопоглощающую способность при многоосевом нагружении. Причины такой зависимости от колебаний температуры для рассматриваемых материалов заключаются, очевидно, в особенностях релаксационных процессов, протекающих на молекулярном уровне.

Учитывая обусловленную особенностями структуры ПМ зависимость их деформационных свойств от времени и температуры, часто считают, что с повышением температуры или продолжительности воздействия механической нагрузки способность материалов воспринимать эту нагрузку снижается при одновременном увеличении деформации. Как показали результаты исследования пластифицированного ПВХ, ПММА и ПК, это предположение нельзя считать верным для всех случаев без исключения. Методические аспекты инструментального испытания на пробой и соответствующего анализа получаемых результатов были рассмотрены с учетом данных исследования материала «Норил» (Noryl) и модифицированного с целью повышения ударной вязкости ПС (HIPS: high impact polystyrene). В качестве примеров представлены кривые «усилие – деформация» для обоих ПМ, снятые при различных температурах.
Оба материала существенно различаются по своим деформационным свойствам и характеру разрушения, которые к тому же существенно зависят от температурных условий проведения испытаний. В то время как кривая «усилие – деформация» для материала «Норил» имеет колоколообразную форму, указывающую на преобладание разрастающихся трещин, в случае УПС практически при любой температуре усилие резко снижается после достижения максимального значения. Это означает, что происходит в основном нестабильное распространение трещин.
Подтверждением этим выводам может служить внешний вид образца материала «Норил» после эксперимента: он характеризуется значительной пластической деформацией и наличием дополнительных поверхностных трещин, ориентированных по окружности образца. Образцы УПС, напротив, ведут себя как хрупкие изделия без четко выраженной макроскопической деформации. Исключение составляет только образец, подвергнутый испытанию при максимальной температуре. Появление белого цвета в области воздействия создаваемой падающим стержнем нагрузки позволяет сделать вывод о протекании в испытуемом образце микромеханических деформационных процессов, которые, однако, не приводят к стабильному распространению трещин. Сквозной пробой образцов падающим стержнем сопровождается выкрашиванием или расщеплением определенных участков изделия после достижения его максимального значения, и только по истечении достаточно продолжительного периода времени наблюдается пробой образца. Увеличение скорости проведения испытаний сопровождается уменьшением продолжительности процесса деформирования и пробоя образца при одновременном повышении величины максимального усилияFM.

Аналогичные выводы можно сделать также при анализе, на котором представлены графики зависимости усилияFМ и деформацииlМ от скоростиvпроведения испытаний, соответствующие наполненным вулканизатам НК и смеси НК/ПБК с различным содержанием наполнителя. Во всех случаях, за исключением вулканизата, содержащего 20 phr сажи («phr» – здесь и далее «массовых частей на 100 масс. ч. основного материала), значениеFМ непрерывно увеличивается по мере повышенияv. ВеличинаFМ в случае вулканизатов НК зависит от содержания серы. У смеси НК и ПБК, взятых в соотношении 60:40, содержание серы в выбранном диапазоне ее варьирования практически не оказывает влияния на величину максимального усилия. Аналогичные выводы можно сделать и в отношении деформируемости материалов: полученные при испытаниях образцов из гомополимеров и смеси полимеров результаты существенно различаются. В то же время величина показателяlМ для вулканизата НК приv= 30 м/с существенно снижается, а показатели деформируемости образцов из смеси остаются почти неизменными (по сравнению с образцами из гомополимера) даже при самых высоких значениях скорости стержня.
Сравнительный анализрезультатов, полученныхметодом инструментированногоиспытания на пробойи другими методами
Зачастую встает вопрос, насколько тесная корреляция существует между результатами инструментированных испытаний на пробой и данными, полученными с применением других методов оценки вязкости разрушения материалов, такими как испытание на ударный изгиб образца с надрезом в соответствии со стандартом DIN EN ISO 179-1 или определение вязкости разрушения при их статическом механическом нагружении. При проведении этих испытаний применяются образцы с различными характеристиками, в которых в процессе нагружения создаются различные напряженные состояния. Для ответа на сформулированный выше вопрос были проведены соответствующие эксперименты с использованием одинаковых материалов. Ниже приводятся результаты испытаний выборки материалов и их анализ.
В качестве примеров представлены отдельные диаграммы «усилиеF– деформацияl», полученные в результате инструментированных испытаний на пробой, а также диаграммы «усилиеF– прогибf», полученные в ходе испытаний на ударный изгиб образцов УПС с надрезом. Испытания проводились при различных температурах. Для построения диаграммF(f)использовались надрезанные с одной стороны с помощью металлического лезвия образцы для трехточечного ударного нагружения; испытания проводились со скоростью 1,5 м/с. Размеры образцов: длина – 80 мм, ширина – 10 мм, толщина – 4 мм, глубина надреза – 2 мм. Внешний вид диаграммF(l)уже был проанализирован выше. Так же как в случае диаграммыF(l),вид диаграммыF(f)может быть различным в зависимости от характера распространения трещин, на который, в свою очередь, оказывает влияние температурный режим испытаний.
Если при комнатной температуре и температуре 35 °C на диаграмме отчетливо видно резкое снижение усилия после достижения своего максимального значенияFM, то при более высоких температурах вид диаграммы изменяется, что свидетельствует о преобладающем стабильном распространении трещин. Это вытекает из значительной доли энергии («энергии замедления распространения трещин»), затрачиваемой на деформирование образца после прохождения максимального значения усилия. Сопоставление диаграмм, полученных с применением обоих методов испытаний, позволяет отметить их аналогичность, за исключением диаграммы, соответствующей температуре 50 °C. В этом случае характер диаграммыF(l)свидетельствует о все еще преобладающем нестабильном распространении трещин, в то время как при испытании образца с надрезом на ударный изгиб уже может преобладать стабильное распространение трещин.
Как было показано выше, в результате обработки диаграммыF(l), полученной методом инструментированного испытания на пробой, можно определить максимальную энергиюEM и энергию пробояEP. На основе диаграммыF(f), полученной методом инструментированного испытания на ударный изгиб образцов с надрезом, могут быть определены параметры процесса механического разрушения – такие, как интегральный показательJld, показатель динамической вязкости разрушенияKld или критическое раскрытие трещиныδld. На рис. 12 с целью наглядного сопоставления результатов, полученных с применением разных методов испытаний, представлены зависимости от температуры вышеперечисленных параметров – максимальной энергииEM и энергии пробояEP (инструментальное испытание на пробой), а также интегрального показателя механического разрушенияSTJOdинструментированное испытание на ударный изгиб образцов с надрезом).

Значения параметраJбыли рассчитаны с помощью аппроксимирующего уравненияСамптера(Sumpter) иТарнера(Turner). Индекс «Od» в данном случае означает, что проверка наличия или отсутствия геометрической взаимосвязи не проводилась, т. е. считается, что геометрическая взаимосвязь показателей существует. С учетом протекающих процессов деформирования и трещинообразования может быть выполнено сравнение показателейEM иJ, так как оба параметра характеризуют энергию, расходуемую до начала нестабильного распространения трещин. Из графиков, следует, что показательJувеличивается по мере повышения температуры, в то время как величинаEM от температуры не зависит. Влияние температуры на поведение исследуемых материалов в случае инструментированного испытания на пробой отражает только показатель энергии пробояEP, который возрастает с повышением температуры.
Из всего вышеизложенного следует, что наиболее содержательная информация о свойствах данной системы материалов в выбранном температурном диапазоне может быть получена только при описании их поведения при разрушении с применением нескольких параметров, определяемых в результате комплексного использовании обоих методов инструментированных испытаний – на пробой и на ударный изгиб образцов с надрезом. В качестве еще одного примера для материала «Норил» представлены результаты измерения показателейEM иEP, полученные с применением метода испытания на пробой, в сравнении с результатами определения сопротивления распространению трещины, полученными в ходе испытания на ударный изгиб образцов с надрезом в соответствии с требованиями норм по испытаниям ПМ, разработанными Университетом имени Мартина Лютера (г. Халле-Виттенберг).
Для испытания на ударный изгиб использовались также образцы с более глубокими надрезами (4,5 мм), выполненными металлическими лезвиями. В результате были получены графики для показателя сопротивления распространению трещины (R-кривые), на основе которых при увеличении длины трещин на 0,2 мм были определены показатель инициирования роста трещинJ0,2 и так называемый модуль трещинообразования (Tearing-Modul)TJ0,2. Оба эти показателя могут служить количественной мерой сопротивления материала стабильному инициированию роста трещин (J0,2) или стабильному распространению трещин (TJ0,2). ПоказательJ0,2 имеет максимальное значение при температуре 50 °C. В отличие от него показательTJ0,2 повышается при увеличении температуры до 50 °C, а затем остается на высоком уровне. При испытаниях же на пробой было установлено, что значения максимальной энергииEM и энергии пробояEP стабильно снижаются с повышением температуры, причиной чего является значительное уменьшение максимального усилияFM.
Заключение
В результате проведенных исследований было установлено, что метод инструментированного испытания на пробой может рассматриваться как самостоятельный метод, позволяющий получать зависящие от условий нагружения материалов результаты. Благодаря высокой содержательности, его использование следует считать необходимым при практической оценке свойств ПМ. Этот метод позволяет относительно быстро и экономично получать информацию о многоосевом поведении материалов под воздействием ударных нагрузок при различных температурах и (или) разных условиях нагружения. Как было показано на приведенных примерах, без проведения соответствующих экспериментов нельзя делать какие-либо обобщающие выводы о деформативности материалов в зависимости от температурных условий. Несмотря на то что при испытании на пробой причиной отказа материала в конечном счете также является образование и распространение трещин, сопоставление результатов испытаний на пробой и на ударный изгиб образцов с надрезом не позволило выявить наличия корреляции между ними.
К. Рейнке, д-р, В. Грельманн, д-р, Martin-Luther-Universitaet (г. Халле-Виттенберг, Германия);
А. Север, д-р, Л. Фрорманн, д-р, Westsaechsische Hochschule (г. Цвикау, Германия)